प्रकाश-परावर्तन तथा अपवर्तन
प्रश्न श्रृंखला-1 # पृष्ठ संख्या 185
प्रश्न 1. अवतल दर्पण की मुख्य फोकस की परिभाषा लिखिए।
उत्तर: अवतल दर्पण की मुख्य फोकस:- “अवतल दर्पण की मुख्य अक्ष के समान्तर आने वाली प्रकाश की किरणें अवतल दर्पण से परावर्तन के पश्चात् जिस बिन्दु से होकर जाती हैं उस बिन्दु को अवतल दर्पण की मुख्य फोकस कहते हैं।” इसे अक्षर ‘F’ से व्यक्त करते हैं।
प्रश्न 2.एक गोलीय दर्पण की वक्रता त्रिज्या 20 cm है। इसकी फोकस दूरी क्या होगी?
हल: दिया है: गोलीय दर्पण की वक्रता त्रिज्या R = 20 cm
चूँकि फोकस दूरी (f) ⇒ R2 ⇒ f ⇒ 202 = 10 cm
अतः गोलीय दर्पण की अभीष्ट फोकस दूरी = 10 cm
प्रश्न 3. उस दर्पण का नाम बताइए जो बिम्ब का सीधा तथा आवर्धित प्रतिबिम्ब बना सके।
उत्तर: अवतल दर्पण।
प्रश्न 4.हम वाहनों में उत्तल दर्पण को पश्च-दृश्य दर्पण के रूप में वरीयता क्यों देते हैं?
उत्तर:हम वाहनों में उत्तल दर्पण को पश्च-दृश्य दर्पण के रूप में वरीयता देते हैं क्योंकि इससे ये सदैव सीधा तथा छोटा प्रतिबिम्ब बनाते हैं तथा इनका दृष्टि क्षेत्र बहुत अधिक होता है। इसलिए इससे पीछे का पूरा दृश्य ड्राइवर को दिखाई देता है।
प्रश्न श्रृंखला-2 # पृष्ठ संख्या 188
प्रश्न 1.उस उत्तल दर्पण की फोकस दूरी ज्ञात कीजिए जिसकी वक्रता त्रिज्या 32 cm है।
हल: दिया है: उत्तल दर्पण की वक्रता त्रिज्या R = 32 cm
चूँकि फोकस दूरी f ⇒ R2 ⇒ f ⇒ 322 = 16 cm
अतः उत्तल दर्पण की अभीष्ट फोकस दूरी = 16 cm
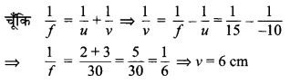
प्रश्न 2.कोई अवतल दर्पण अपने सामने 10 cm की दूरी पर रखे किसी बिम्ब का तीन गुना आवर्धित (बड़ा) वास्तविक प्रतिबिम्ब बनाता है। प्रतिबिम्ब दर्पण से कितनी दूरी पर है।
हल: चूँकि प्रतिबिम्ब बिम्ब से तीन गुना उल्टा (वास्तविक) बन रहा है अतः h’ = – 3h एवं u = – 10 cm (दिया है)
अतः प्रतिबिम्ब दर्पण के सम्मुख बाईं ओर उससे 30 cm दूरी पर है।
प्रश्न श्रृंखला-3 # पृष्ठ संख्या 194
प्रश्न 1.वायु में गमन करती एक प्रकाश की किरण जल में तिरछी प्रवेश करती है। क्या प्रकाश किरण अभिलम्ब की ओर झुकेगी अथवा अभिलम्ब से दूर हटेगी? बताइए क्यों?
उत्तर:प्रकाश किरण अभिलम्ब की ओर झुकेगी क्योंकि जब प्रकाश की किरण विरल माध्यम (वायु) से सघन माध्यम (जल) में तिरछी प्रवेश करती है तो प्रकाश की किरण धीमी हो जाती है तथा अभिलम्ब की ओर मुड़ जाती है।
प्रश्न 3. सारणी 10.3 से अधिकतम प्रकाशिक घनत्व के माध्यम को ज्ञात कीजिए। न्यूनतम प्रकाशिक घनत्व के माध्यम को भी ज्ञात कीजिए।
उत्तर: पाठ्य-पुस्तक में दी सारणी 10.3 के आधार पर –
अधिकतम प्रकाशिक घनत्व वाला माध्यम = हीरा (n = 2.42)
एवं न्यूनतम प्रकाशिक घनत्व वाला माध्यम = वायु (n = 1.0003)
प्रश्न 4.आपको कैरोसीन, तारपीन का तेल तथा जल दिए गए हैं। इनमें प्रकाश सबसे अधिक तीव्र गति से चलता है? सारणी 10.3 में दिए गए आंकड़ों का उपयोग कीजिए।
उत्तर: जल में प्रकाश सबसे अधिक तीव्र गति से चलता है।
प्रश्न 5. हीरे का अपवर्तनांक 2.42 है। इस कथन का क्या अभिप्राय है?
उत्तर: हीरे का अपवर्तनांक 2.42 से अभिप्राय है कि प्रकाश की हीरे में चाल उसकी निर्वात में चाल 3 × 108 ms-1 का 12.42 गुना है। दूसरे शब्दों में निर्वात में प्रकाश की चाल = 2.42 × हीरे में प्रकाश की चाल।
प्रश्न शृंखला-4 # पृष्ठ संख्या 203
प्रश्न 1. किसी लेंस की एक डायप्टर (डाइऑप्टर) क्षमता को परिभाषित कीजिए।
उत्तर: लेंस की 1 डाइऑप्टर क्षमता:- जब किसी अभिसारी (द्वि-उत्तल) लेंस की फोकस दूरी 1 m हो तो उसकी लेंस क्षमता 1 डाइऑप्टर होगी अर्थात् किसी लेंस की 1 डाइऑप्टर क्षमता उस द्वि-उत्तल लेंस की क्षमता के बराबर है जिसकी फोकस दूरी 1 m हो।
पाठान्त अभ्यास के प्रश्नोत्तर
प्रश्न 1. निम्न में से कौन-सा पदार्थ लेंस बनाने के लिए प्रयुक्त नहीं किया जा सकता?
(a) जल।
(b) काँच।
(c) प्लास्टिक।
(d) मिट्टी।
उत्तर: (d) मिट्टी।
प्रश्न 2. किसी बिम्ब का अवतल दर्पण द्वारा बना प्रतिबिम्ब आभासी, सीधा तथा बिम्ब से बड़ा पाया गया। वस्तु की स्थिति कहाँ होनी चाहिए?
(a) मुख्य फोकस तथा वक्रता केन्द्र के बीच।
(b) वक्रता केन्द्र पर।
(c) वक्रता केन्द्र से परे।
(d) दर्पण के ध्रुव तथा मुख्य फोकस के बीच।
उत्तर: (d) दर्पण के ध्रुव तथा मुख्य फोकस के बीच।
प्रश्न 3. किसी बिम्ब का वास्तविक तथा समान साइज का प्रतिबिम्ब प्राप्त करने के लिए बिम्ब को उत्तल लेंस के सामने कहाँ रखें?
(a) लेंस के मुख्य फोकस पर।
(b) फोकस दूरी की दोगुनी दूरी पर।
(c) अनंत पर।
(d) लेंस के प्रकाशिक केन्द्र तथा मुख्य फोकस के बीच।
उत्तर: (b) फोकस दूरी की दोगुनी दूरी पर।
प्रश्न 4. किसी गोलीय दर्पण तथा किसी पतले गोलीय लेंस दोनों की फोकस दूरियाँ – 15 cm हैं। दर्पण तथा लेंस सम्भवतः है –
(a) दोनों अवतल।
(b) दोनों उत्तल।
(c) दर्पण अवतल तथा लेंस उत्तल।
(d) दर्पण उत्तल तथा लेंस अवतल।
उत्तर:- (a) दोनों अवतल।
प्रश्न 5. किसी दर्पण से आप चाहे कितनी ही दूरी पर खड़े हों, आपका प्रतिबिम्ब सदैव सीधा प्रतीत होता है। सम्भवतः दर्पण है –
(a) केवल समतल।
(b) केवल अवतल।
(c) केवल उत्तल।
(d) या तो समतल अथवा उत्तल।
उत्तर: (d) या तो समतल अथवा उत्तल।
प्रश्न 6. किसी शब्दकोष (Dictionary) में पाए गए छोटे अक्षरों को पढ़ते समय आप निम्न में से कौन-सा लेंस पसन्द करेंगे?
(a) 50 cm फोकस दूरी का एक उत्तल लेंस।
(b) 50 cm फोकस दूरी का एक अवतल लेंस।
(c) 5 cm फोकस दूरी का एक उत्तल लेंस।
(d) 5 cm फोकस दूरी का एक अवतल लेंस।
उत्तर: (c) 5 cm फोकस दूरी का एक उत्तल लेंस।
प्रश्न 7. 15 cm फोकस दूरी के एक अवतल दर्पण का उपयोग करके हम किसी बिम्ब का सीधा प्रतिबिम्ब बनाना चाहते हैं। बिम्ब का दर्पण से दूरी का परिसर (Range) क्या होना चाहिए? प्रतिबिम्ब की प्रकृति कैसी है? प्रतिबिम्ब बिम्ब से बड़ा है या छोटा? इस स्थिति में प्रतिबिम्ब बनने का एक किरण आरेख बनाइए।
उत्तर:
बिम्ब का दर्पण से दूरी का परिसर = 0 cm से 25 cm है।
प्रतिबिम्ब की प्रकृति: आभासी।
प्रतिबिम्ब का साइज: बिम्ब से बड़ा।
![]() |
अवतल दर्पण |
1. किसी कार का अग्र-दीप (हैड-लाइट)।
2. किसी वाहन का पार्श्व/पश्च-दृश्य दर्पण।
3. सौर भट्टी।
अपने उत्तर की कारण सहित पुष्टि कीजिए।
- अवतल दर्पण: शक्तिशाली समान्तर किरण पुन्ज प्राप्त करने के लिए।
- उत्तल दर्पण: बहुत अधिक दृष्टि क्षेत्र प्राप्त करने एवं पश्च-दृश्य का सीधा प्रतिबिम्ब प्राप्त करने के लिए।
- अवतल दर्पण: सूर्य के प्रकाश को केन्द्रित करने के लिए।
उत्तर: हाँ, यह लेंस किसी बिम्ब का पूरा प्रतिबिम्ब बना पायेगा।
निर्देश: शेष प्रयोगात्मक भाग के लिए छात्र स्वयं अपने अध्यापक की सहायता से हल करें।
उत्तर: प्रतिबिम्ब बनने का प्रकाश किरण आरेख –
![]() |
| प्रतिबिम्ब बनने का प्रकाश किरण आरेख |
एवं प्रतिबिम्ब की प्रकृति: वास्तविक एवं उल्टा।
हल:
दिया है: f = – 15 cm, v = – 10 cm
अतः बिम्ब लेंस से 30 cm की दूरी पर बाईं ओर है तथा अभीष्ट किरण आरेख निम्न है –
![]() |
अवतल लेंस |
हल:
दिया है: f = 15 cm, u = – 10 cm
उत्तर: समतल दर्पण में प्रतिबिम्ब बिम्ब के बराबर, सीधा तथा दर्पण के पीछे समान दूरी पर बनेगा।
हल: दिया है: उत्तल दर्पण की वक्रता त्रिज्या R = 30 cm
हल:
ज्ञात है: f = – 18 cm, u = – 27 cm, बिम्ब की लम्बाई h = 7.0 cm
(b) युक्ति X उत्तल लेंस है और युक्ति Y अवतल दर्पण है जिनकी फोकस दूरियाँ क्रमशः 10 cm एवं 25 cm हैं।
(c) युक्ति X अवतल लेंस है और युक्ति Y उत्तल दर्पण है, जिनकी फोकस दूरियाँ क्रमशः 25 cm और 25 cm हैं।
(d) युक्ति X उत्तल लेंस है और युक्ति Y अवतल दर्पण है, जिनकी फोकस दूरियाँ क्रमश: 20 cm और 25 cm हैं।
उत्तर: (d) युक्ति X उत्तल लेंस है और युक्ति Y अवतल दर्पण है, जिनकी फोकस दूरियाँ क्रमश: 20 cm और 25 cm हैं।
(a) परदे से दूर।
(b) परदे की ओर।
(c) किसी ऐसी स्थिति पर जो परदे से काफी दूर है।
(d) यात्री परदे की ओर या परदे से दूर, यह प्रतिबिम्ब की स्थिति पर निर्भर करता है।
उत्तर: (b) परदे की ओर।
(a) ∠i > ∠r < ∠e
(b) ∠i = ∠e > ∠r
(c) ∠i < ∠r < ∠e
(d) ∠i = ∠e < ∠r
उत्तर: (b) ∠i = ∠e > ∠r
(a) पार्श्व परिवर्तित और छोटा होता है।
(b) उल्टा और छोटा होता है।
(c) सीधा और छोटा होता है।
(d) सीधा और अत्यधिक छोटा होता है।
उत्तर: (d) सीधा और अत्यधिक छोटा होता है।
(a) लेंस को थोड़ा-सा पर्दे की ओर खिसकायेंगे।
(b) लेंस को थोड़ा-सा पर्दे से दूर खिसकायेंगे।
(c) लेंस को थोड़ा-सा सूर्य की दिशा में खिसकायेंगे।
(d) लेंस और पर्दे दोनों को सूर्य की ओर खिसकायेंगे।
उत्तर: (a) लेंस को थोड़ा-सा पर्दे की ओर खिसकायेंगे।
(a) ∠i बड़ा है < r से, परन्तु ∠e के लगभग बराबर है।
(b) ∠i छोटा है < r से, परन्तु ∠e के लगभग बराबर है।
(c) ∠i बड़ा है < e से, परन्तु ∠r के लगभग बराबर है।
(d) ∠i छोटा है < e से, परन्तु ∠r के लगभग बराबर है।
उत्तर: (b) ∠i छोटा है < r से, परन्तु ∠e के लगभग बराबर है।
(b) यह युक्ति 8 cm फोकस दूरी का उत्तल दर्पण है।
(c) यह युक्ति 4 cm फोकस दूरी का उत्तल लेंस है।
(d) यह युक्ति 8 cm फोकस दूरी का उत्तल लेंस है।
उत्तर: (d) यह युक्ति 8 cm फोकस दूरी का उत्तल लेंस है।
(a) ∠i = ∠e < r
(b) ∠i < ∠e < ∠r
(c) ∠i > ∠e > ∠r
(d) ∠i = ∠e > ∠r
उत्तर: (d) ∠i = ∠e > ∠r
(a) अवतल दर्पण एवं उत्तल लेंस।
(b) उत्तल दर्पण एवं अवतल लेंस।
(c) दो समतल दर्पण 90° पर रखे हुए।
(d) अवतल दर्पण एवं अवतल लेंस।
उत्तर:(a) अवतल दर्पण एवं उत्तल लेंस।
(a) – 30 cm
(b) – 20 cm
(c) – 40 cm
(d) – 60 cm
उत्तर: (b) – 20 cm
(a) जब वह बिम्ब अवतल दर्पण की वक्रता त्रिज्या के बराबर दूरी पर रखा गया हो।
(b) जब वह बिम्ब अवतल दर्पण की फोकस दूरी से कम दूरी पर रखा गया हो।
(c) जब वह बिम्ब अवतल दर्पण की फोकस एवं उसके वक्रता केन्द्र से बीच रखा गया हो।
(d) जब वह बिम्ब अवतल दर्पण की वक्रता त्रिज्या से अधिक दूरी पर रखा गया हो।
उत्तर: (c) जब वह बिम्ब अवतल दर्पण की फोकस एवं उसके वक्रता केन्द्र से बीच रखा गया हो।
प्रश्न 13. संलग्न आकृति एक प्रकाश किरण को दर्शाती है जो माध्यम –
उत्तर:
रिक्त स्थानों की पूर्ति
- ……….. लेंस एवं ………… दर्पण में प्रतिबिम्ब सदैव छोटा और सीधा बनता है।
- µ = sin i/sin r कहलाता है ………… का नियम।
- सीधा एवं बड़ा प्रतिबिम्ब बनता है केवल ………… दर्पण एवं ………… लेंस में।
- प्रतिबिम्ब की ऊँचाई और बिम्ब की ऊँचाई का अनुपात ………… कहलाता है।
- उत्तल लेंस की क्षमता ………… तथा अवतल लेंस की क्षमता ………… होती है।
उत्तर:
- अवतल, उत्तल।
- स्नैल।
- अवतल, उत्तल।
- आवर्धन।
- धनात्मक, ऋणात्मक।
जोड़ी बनाइए :-
स्तम्भ अ स्तम्भ ब
- अभिसारी लेंस (a) उत्तल दर्पण
- अपसारी लेंस (b) पश्च-दृश्य दर्पण
- अभिसारी दर्पण (c) उत्तल लेंस
- अपसारी दर्पण (d) अवतल लेंस
- उत्तल दर्पण (e) अवतल दर्पण
उत्तर:
- → (c)
- → (d)
- → (e)
- → (a)
- → (b)
सत्य/असत्य कथन
- अवतल दर्पण में बने प्रतिबिम्ब सदैव वास्तविक होते हैं।
- लेंस की क्षमता का मात्रक डायप्टर होता है।
- उत्तल लेंस में सदैव वास्तविक प्रतिबिम्ब बनते हैं।
- अपवर्तनांक का कोई मात्रक नहीं होता है।
- काँच का अपवर्तनांक एक से कम होते है।
उत्तर:
- असत्य।
- सत्य।
- असत्य।
- सत्य।
- असत्य।
एक शब्द/वाक्य में उत्तर
- दर्पण: सूत्र लिखिए अथवा किसी गोलीय दर्पण में फोकस अन्तर (f), बिम्ब की दर्पण से दूरी (u) एवं __ प्रतिबिम्ब की दर्पण से दूरी (v) में सम्बन्ध लिखिए।
- लेंस: सूत्र लिखिए अथवा लेंस की फोकस दूरी (f), बिम्ब की लेंस से दूरी (u) एवं प्रतिबिम्ब की लेंस से दूरी (v) में सम्बन्ध लिखिए।
- लेंस की क्षमता के लिए सूत्र लिखिए तथा उसका मात्रक भी लिखिए।
- किसी गोलीय दर्पण की वक्रता त्रिज्या R एवं उसकी फोकस दूरी (f) में क्या सम्बन्ध है?
- दो माध्यमों के बीच अपवर्तनांक एवं उनमें प्रकाश की चालों में क्या सम्बन्ध है?
उत्तर:
अति लघु उत्तरीय प्रश्न
उत्तर: गोलीय दर्पण:- “ऐसे दर्पण जिनका परावर्तक पृष्ठ गोलीय होता है, गोलीय दर्पण कहलाते हैं।” गोलीय दर्पण के प्रकार-ये दो प्रकार के होते हैं –
- अवतल दर्पण।
- उत्तल दर्पण।
उत्तर: आवर्धन:- किसी प्रकाशिक युक्ति द्वारा उत्पन्न आवर्धन वह आपेक्षिक विस्तार है जिसमें ज्ञात होता है कि उस युक्ति द्वारा बना प्रतिबिम्ब, बिम्ब की अपेक्षा कितना गुणा आवर्धित है।
अर्थात्
अथवा
अपवर्तनांक और माध्यमों में प्रकाश की चाल में क्या सम्बन्ध है?
उत्तर: अपवर्तनांक:- एक माध्यम के सापेक्ष दूसरे माध्यम का अपवर्तनांक पहले माध्यम में प्रकाश की चाल एवं दूसरे माध्यम के प्रकाश की चाल के अनुपात के बराबर होता है। इस अनुपात को अपवर्तनांक अथवा सापेक्ष अपवर्तनांक कहते हैं।
उत्तर: निरपेक्ष अपवर्तनांक:- जब किसी माध्यम का अपवर्तनांक निर्वात (वायु) की सापेक्ष ज्ञात किया जाता है तब इसे निरपेक्ष अपवर्तनांक कहते हैं। इसे n से प्रदर्शित करते हैं। अर्थात् –
उत्तर: लेंस की क्षमता:- “किसी लेंस द्वारा प्रकाश किरणों का अभिसरण या अपसरण करने की मात्रा को उस लेंस की क्षमता के रूप में व्यक्त किया जाता है।” संख्यात्मक रूप से “लेंस की मीटर में व्यक्त फोकस दूरी का व्युत्क्रम उस लेंस की क्षमता कहलाती है।”
अर्थात्
उत्तर: नहीं, उतनी मुड़ी नहीं दिखाई देगी क्योंकि किसी भी माध्यम में प्रकाश की सापेक्ष चाल उनके सापेक्ष अपवर्तनांकों पर निर्भर करती है।
प्रश्न 7. एक माध्यम का अपवर्तनांक किस प्रकार प्रकाश की चाल पर निर्भर करता है। किसी माध्यम का दूसरे माध्यम के सापेक्ष अपवर्तनांक का व्यंजक उन दोनों माध्यमों में प्रकाश की चाल के पदों में ज्ञात कीजिए।
उत्तर: कथन सत्य है क्योंकि उत्तल लेंस आभासी एवं वास्तविक दोनों प्रकार के आवर्धित प्रतिबिम्ब बना सकता है। पहली स्थिति में बिम्ब को दर्पण से 20 cm से कम दूरी पर रखना चाहिए और दूसरी स्थिति में बिम्ब के दर्पण से 20 cm से 40 cm के बीच दूरी पर रखना चाहिए।
उत्तर: इमारत का स्वच्छ एवं स्पष्ट प्रतिबिम्ब परदे (स्क्रीन) पर प्राप्त करने के लिए सुधा को स्क्रीन को लेंस की तरफ खिसकाना चाहिए। लेंस की लगभग फोकस दूरी 15 cm है।
उत्तर: किसी लेंस की क्षमता (P) उस लेंस की मीटर में मापी गयी फोकस दूरी का व्युत्क्रम होता है अर्थात् –
उत्तर: परदे को थोड़ा लेंस की ओर ले जाना होगा। उपर्युक्त प्रक्रिया में लेंस से बिम्ब की दूरी u का मान बढ़ रहा है तथा प्रतिबिम्ब की लेंस से दूरी v का मान घट रहा है। इसलिए आवर्धन का मान कम हो जायेगा।
हल:
प्रश्न 13. सौर भट्टियों की अभिकल्पना में उपयोग होने वाले दर्पण का नाम लिखिए। इस युक्ति द्वारा उच्च ताप किस प्रकार प्राप्त किया जाता है? इसकी व्याख्या कीजिए।
उत्तर: सौर भट्टियों की अभिकल्पना में प्रयुक्त होने वाला दर्पण दीर्घ द्वारक का अवतल दर्पण होगा। अवतल दर्पण समानान्तर सौर प्रकाश पुंज का अभिसरण करके एक बिन्दु पर केन्द्रित करेगा जिससे उस स्थान का ताप अत्यधिक बढ़ जायेगा। इस प्रकार हम उसके उपयोग से उच्च ताप प्राप्त कर सकेंगे।
प्रश्न 14. कोई बिम्ब 15 cm फोकस दूरी की अवतल लेंस से 30 cm की दूरी पर स्थित है। लेंस द्वारा बने प्रतिबिम्ब के चार अभिलक्षणों (प्रकृति, स्थिति आदि) की सूची बनाइए।
उत्तर: प्रतिबिम्ब:
- लेंस के उसी ओर फोकस एवं प्रकाशिक केन्द्र के बीच बनेगा।
- प्रतिबिम्ब सीधा होगा।
- प्रतिबिम्ब छोटा होगा।
- प्रतिबिम्ब आभासी होगा।
प्रश्न 15. आयताकार काँच के गुटके से प्रकाश के अपवर्तन का आरेख खींचिए।
हल:
![]() |
| प्रकाश के अपवर्तन का आरेख |
उत्तर: गोलीय दर्पण का वक्रता केन्द्र: - “गोलीय दर्पण जिस गोले के भाग होते हैं, उस गोले का केन्द्र उस गोलीय दर्पण का वक्रता केन्द्र कहलाता है।”
अथवा
प्रकाश के परावर्तन के नियम को किरण – आरेख (रेखाचित्र) द्वारा समझाइए।
उत्तर: परावर्तन के निम्नलिखित दो नियम हैं –
- आपतित किरण, अभिलम्ब एवं परावर्तित किरण एक ही तल में होते हैं।
उत्तर: प्रकाश के अपवर्तन के नियम:-
- आपतित किरण, अपवर्तित किरण तथा दोनों माध्यमों को पृथक् करने वाले पृष्ठ के आपतन बिन्दु पर अभिलम्ब सभी एक ही तल में होते हैं। प्रकाश के किसी निश्चित रंग तथा निश्चित माध्यमों के युग्म के लिए आपतन कोण की ज्या (sine) तथा अपवर्तन कोण की ज्या (sine) का अनुपात स्थिर रहता है।
- इस नियम को स्नैल का अपवर्तन नियम कहते हैं।
उत्तर: लेंस की क्षमता की परिभाषा एवं मात्रक:- “किसी लेंस द्वारा प्रकाश किरणों का अभिसरण या अपसरण करने की मात्रा को उस लेंस की क्षमता के रूप में व्यक्त किया जाता है।” संख्यात्मक रूप से “लेंस की मीटर में व्यक्त फोकस दूरी का व्युत्क्रम उस लेंस की क्षमता कहलाती है।”
अर्थात्
लेंस की क्षमता का मात्रक: इसका मात्रक डायप्टर (D) होता है।
1. अनन्त पर।
2. दर्पण से किसी दूरी पर।
1. उत्तल दर्पण द्वारा प्रतिबिम्ब बनना जब बिम्ब अनन्त पर स्थित है।
![]() |
| उत्तल दर्पण |
2 उत्तल दर्पण द्वारा प्रतिबिम्ब बनना जब बिम्ब दर्पण से किसी दूरी पर स्थित है।
प्रश्न 5. निम्न प्रत्येक स्थिति में प्रकाश युक्ति गोलीय दर्पण अथवा लेंस का प्रयोग किया गया है तथा प्रत्येक स्थिति में सीधा और आभासी प्रतिबिम्ब बनता है तो प्रत्येक स्थिति में प्रयुक्त युक्ति की पहचान कीजिए –
- बिम्ब को युक्ति एवं इसके फोकस के बीच रखा गया है, बना हुआ प्रतिबिम्ब इस युक्ति के पीछे तथा आवर्धित है।
- बिम्ब को युक्ति एवं इसके फोकस के बीच रखा गया है, प्रतिबिम्ब आवर्धित एवं युक्ति के उसी तरफ बना है।
- बिम्ब को अनन्त एवं युक्ति के बीच रखा गया है, प्रतिबिम्ब फोकस एवं प्रकाशिक केन्द्र के बीच एवं छोटा बिम्ब की तरफ ही बनता है।
- बिम्ब को अनन्त एवं युक्ति के बीच रखा गया है, प्रतिबिम्ब ध्रुव एवं फोकस के बीच छोटा तथा युक्ति के पीछे बनता है।
उत्तर:
- अवतल दर्पण।
- उत्तल लेंस।
- अवतल लेंस।
- उत्तल दर्पण।
प्रश्न 6.काँच की सापेक्ष हीरे का अपवर्तनांक 1.6 है। काँच का निरपेक्ष अपवर्तनांक 1.5 है तो हीरे का निरपेक्ष अपवर्तनांक ज्ञात कीजिए।
हल:
अतः हीरे का अभीष्ट निरपेक्ष अपवर्तनांक = 2.40
प्रश्न 7. एक किरण आरेख खींचकर एक प्रकाश किरण का किरण-पथ प्रदर्शित कीजिए जबकि प्रकाश किरण तिरछी आपतित होती हुई प्रवेश करती है –
(a) हवा से जल में।
(b) जल से हवा में।
उत्तर: किरण के अपवर्तन का किरण आरेख –
उत्तर: जब दो समतल दर्पणों को परस्पर समकोण पर रखे जाएँ तो कोई भी प्रकाश किरण किसी भी कोण पर एक दर्पण पर आपतित होती है तो दोनों दर्पणों से परावर्तन के पश्चात् आपतित किरण के सदैव समान्तर परावर्तित हो जाती है।
उत्तर: वह दर्पण उत्तल दर्पण है।
उत्तल दर्पण के उपयोग:-
- वाहनों के पश्च दृश्य दर्पण के रूप में पीछे के वाहनों को देखने के लिए। इससे प्रतिबिम्ब सदैव सीधा तथा छोटा बनता है इससे दृष्टि-क्षेत्र बढ़ जाता है।
- नगर की सड़कों के खम्भों पर लगे विद्युत् बल्बों के परावर्तन के रूप में जिससे प्रकाश किरणें अधिक से अधिक क्षेत्रफल तक फैल सकें।
प्रश्न 11. किसी दर्पण द्वारा बना प्रतिबिम्ब वास्तविक, उल्टा और – 1 आवर्धन का है। यदि प्रतिबिम्ब की दर्पण से दूरी 40 cm है, तो बिम्ब कहाँ स्थित है? यदि बिम्ब को दर्पण की ओर 20 cm स्थानान्तरित कर दिया जाय तो प्रतिबिम्ब कहाँ बनेगा? अपने उत्तर की पुष्टि के लिए कारण दीजिए तथा बिम्ब की नयी स्थिति के लिए किरण आरेख खींचिए।
उत्तर: प्रतिबिम्ब के स्थान पर अर्थात् दर्पण से 40 cm की दूरी पर दर्पण के वक्रता केन्द्र पर स्थित है क्योंकि आवर्धन – 1 है अतः प्रतिबिम्ब उल्टा तथा बिम्ब के बराबर है। यह स्थिति अवतल दर्पण के वक्रता केन्द्र पर होती है। चूँकि दर्पण की फोकस दूरी वक्रता त्रिज्या की आधी होती है। इसलिए बिम्ब को दर्पण की ओर 20 cm खिसकाने पर उसकी स्थिति फोकस पर होगी जिसका प्रतिबिम्ब अनन्त पर बनेगा।
प्रश्न 12. 2.5 cm ऊँचाई का कोई बिम्ब 10 cm फोकस दूरी के किसी उत्तल लेंस के प्रकाशिक केन्द्र ‘O’ से 15 cm की दूरी पर स्थित है। बनने वाले प्रतिबिम्ब की स्थिति और साइज ज्ञात करने के लिए किरण आरेख खींचिए। इस आरेख में प्रकाशिक केन्द्र ‘O’ मुख्य फोकस F तथा प्रतिबिम्ब की ऊँचाई अंकित कीजिए।
उत्तर: अभीष्ट आरेख निम्न है –
यहाँ प्रतिबिम्ब लेंस के दूसरी ओर लेंस से 30 cm दूरी पर बनेगा तथा उसकी ऊँचाई 5.0 cm होगी। (आरेखानुसार मापने पर)
प्रश्न 13. यदि कोई लेंस उसके सामने स्थित किसी बिम्ब की किसी भी स्थिति के लिए सदैव ही सीधा और छोटा प्रतिबिम्ब बनाता है, तो उस लेंस की प्रकृति क्या है? अपने उत्तर की पुष्टि किरण आरेख खींचकर कीजिए। यदि इस लेंस की क्षमता का संख्यात्मक मान 10 D है, तो कार्तीय प्रणाली के अनुसार इसकी फोकस दूरी क्या है?
उत्तर: अवतल लेंस में ही सदैव प्रत्येक स्थिति में प्रतिबिम्ब बिम्ब से छोटा तथा सीधा बनता है अतः दिया हुआ लेंस अवतल लेंस है जिसकी प्रकृति अपसारी है। लेंस की फोकस दूरी एवं लेंस क्षमता ऋणात्मक होगी।
- परदे पर ज्वाला को फोकसित करने के लिए उसे लेंस को किस दिशा में खिसकाना होता है?
- परदे पर बनी ज्वाला के प्रतिबिम्ब के साइज में क्या अन्तर होता है?
- परदे पर बनी ज्वाला की तीव्रता (चमक) में क्या अन्तर दिखाई देता है?
- जब ज्वाला लेंस के बहुत पास (लगभग 5 cm) दूरी पर होती है, तो परदे पर क्या दिखाई देता है?
- लेंस को परदे से दूर मोमबत्ती की ज्वाला की ओर खिसकाना होगा।
- प्रतिबिम्ब का साइज बढ़ता जायेगा।
- ज्वाला की तीव्रता (चमक) कम होती जायेगी।
- परदे पर कुछ भी दिखाई नहीं देगा क्योंकि ज्वाला का प्रतिबिम्ब नहीं बनेगा।
उत्तर: अवतल दर्पण के उपयोग:
- परवलयाकार अवतल दर्पण को टॉर्च, सर्चलाइट तथा वाहनों के अग्रदीपों में शक्तिशाली समान्तर किरण पुंज प्राप्त करने के लिए प्रयुक्त किए जाते हैं।
- नाक, कान, गला, दाँत एवं आँख का परीक्षण करने के लिए चिकित्सकों द्वारा प्रयुक्त किये जाते हैं।
- सोलर भट्टियाँ एवं सोलर कुकर में प्रकाश किरणों को केन्द्रित करने हेतु प्रयुक्त।
- शेव बनाने के लिए इनका प्रयोग होता है जिससे दाढ़ी का प्रतिबिम्ब बड़ा बन सके।
उत्तर: चूँकि प्रतिबिम्ब को पर्दे पर लिया गया है तथा प्रतिबिम्ब लेंस के दूसरी ओर बना है इसलिए प्रतिबिम्ब वास्तविक है तथा लेंस अभिसारी उत्तल लेंस है। प्रतिबिम्ब उल्टा बनेगा।
संख्यात्मक प्रश्न का हल:
चूँकि
अतः मोमबत्ती को लेंस से लगभग 26.7 cm दूर रखना चाहिए।
दीर्घ उत्तरीय प्रश्न
(a) अनन्त पर।
(b) वक्रता केन्द्र से परे।
(c) वक्रता केन्द्र पर।
(a) जब वस्तु (बिम्ब) अनन्त पर स्थित है तो प्रतिबिम्ब बनेगा
- फोकस पर
- बिन्दु के आकार का।
- उल्टा।
- वास्तविक।
- वक्रता केन्द्र (C) और फोकस (F ) के बीच।
- छोटा।
- उल्टा।
- वास्तविक।
- वक्रता केन्द्र (C) पर।
- वस्तु के बराबर।
- उल्टा।
- वास्तविक।
(a) वक्रता केन्द्र (C) एवं फोकस (F) के बीच।
(b) फोकस (F) पर।
(c) फोकस (F ) एवं ध्रुव (P) के बीच।
उत्तर: अवतल दर्पण में प्रतिबिम्ब बनना
(a) जब बिम्ब (वस्तु) वक्रता केन्द्र (C) एवंफोकस (F) के बीच स्थित हो तो प्रतिबिम्ब बनेगा –
- वक्रता केन्द्र से परे अर्थात् (वक्रता केन्द्र एवं अनन्त के बीच)।
- वस्तु से बड़ा (आवर्धित)।
- उल्टा।
- वास्तविक।
(c) जब बिम्ब फोकस (F) एवं ध्रुव (P) के बीच स्थित हो तो प्रतिबिम्ब बनेगा –
- दर्पण के पीछे।
- आवर्धित।
- सीधा।
- आभासी।
प्रश्न 3. उत्तल लेंस द्वारा प्रतिबिम्ब बनना प्रदर्शित करने के लिए किरण आरेख खींचिए तथा प्रतिबिम्ब की स्थिति एवं प्रकृति आदि का उल्लेख कीजिए जबकि बिम्ब स्थित है –
(a) अनन्त पर।
(b) 2 F से परे अर्थात् 2 F एवं अनन्त (∞) के बीच।
(c) 2 F पर।
उत्तर: उत्तल लेंस में प्रतिबिम्ब का बनना –
(a) जब बिम्ब अनन्त पर हो तो प्रतिबिम्ब बनेगा –
- लेंस दूसरी ओर फोकस (F) पर।
- बहुत छोटा बिन्दु आकार का।
- उल्टा।
- वास्तविक।
- F एवं 2 F के बीच।
- छोटा।
- उल्टा।
- वास्तविक।
(a) F एवं 2 F के बीच।
(b) F पर।
(c) F और प्रकाशिक केन्द्र O के बीच।
उत्तर: उत्तल लेंस में प्रतिबिम्ब का बनना –
(a) जब बिम्ब F एवं 2 F के बीच स्थित हो तो प्रतिबिम्ब बनेगा –
- 2 F से परे।
- आवर्धित।
- उल्टा।
- वास्तविक।
- लेंस के उसी ओर।
- आवर्धित।
- सीधा।
- आभासी।
प्रश्न 5. अवतल लेंस में प्रतिबिम्ब बनना दर्शाने के लिए किरण आरेख खींचिए तथा प्रतिबिम्ब की स्थिति एवं प्रकृति आदि का उल्लेख कीजिए जबकि बिम्ब स्थित हो –
(b) F एवं अनन्त के बीच।
(c) F पर।
उत्तर: (a) जब बिम्ब अनन्त पर हो तो प्रतिबिम्ब बनेगा।
- लेंस के उसी ओर F पर।
- बिन्दु आकार।
- सीधा।
- आभासी।
- फोकस (F) एवं प्रकाशिक केन्द्र (O) के बीच।
3. सीधा।
4. आभासी।
(c) जब बिम्ब फोकस (F) पर हो तो प्रतिबिम्ब बनेगा –
1. फोकस (F) एवं प्रकाशिक केन्द्र (O) के बीच।
2. छोटा।
3. सीधा।
4. आभासी।
मोमबत्ती की स्थिति = 12.0 cm पर।
उत्तल लेंस की स्थिति = 50.0 cm पर।
परदे की स्थिति = 88.0 cm पर।
(i) उस उत्तल लेंस की फोकस दूरी क्या है?
(ii) यदि वह छात्र मोमबत्ती को लेंस की ओर 31.0 cm की स्थिति तक खिसका देता है तो प्रतिबिम्ब कहाँ बनेगा?
(iii) यदि मोमबत्ती को पुनः लेंस की ओर खिसका दें तो बनने वाले प्रतिबिम्ब की प्रकृति क्या होगी?
(iv) उपर्युक्त स्थिति (iii) के लिए प्रतिबिम्ब बनने को दर्शाने के लिए किरण आरेख खींचिए।
⇒ मोमबत्ती की लेंस से दूरी (u) = 31 – 50 = – 19 cm
– चूँकि मोमबत्ती लेंस के फोकस पर स्थित है अत: मोमबत्ती का प्रतिबिम्ब अनन्त पर बनेगा।
(iii) यदि हम मोमबत्ती को लेंस की ओर और अधिक खिसकाएँगे तो इसकी स्थिति फोकस और प्रकाशिक केन्द्र के बीच हो जाएगी।
अतः प्रतिबिम्ब लेंस के उसी ओर सीधा एवं आभासी होगा तथा परदे पर नहीं बनेगा।
(iv) किरण आरेख – जब मोमबत्ती लेंस के फोकस (F) एवं प्रकाशिक केन्द्र (O) के बीच है।
![]() |
किरण आरेख |
हल: इस प्रश्न में दो स्थितियाँ हो सकती हैं।
(i) जब दर्पण अवतल हो तो उसकी फोकस दूरी ऋणात्मक होगी, अर्थात् f = – 20 cm,
u एवं v दोनों ऋणात्मक होंगे।
(ii) जब दर्पण उत्तल होगा तो दर्पण की फोकस दूरी धनात्मक अर्थात् f = + 20 cm होगी तथा प्रतिबिम्ब सीधा, आभासी तथा दर्पण के पीछे बनेगा। यहाँ u ऋणात्मक तथा v धनात्मक होगा।
प्रश्न 8. निम्नलिखित प्रेक्षण तालिका का विश्लेषण कीजिए, जिसमें उत्तल लेंस की स्थिति में बिम्ब दूरी (u) के साथ प्रतिबिम्ब दूरी (v) का विचरण दर्शाया गया है, और बिना कोई परिकलन किए ही निम्नलिखित प्रश्नों के उत्तर दीजिए –
(b) उस प्रेक्षण की क्रम संख्या लिखिए, जो सही नहीं है। यह निष्कर्ष आपने किस आधार पर निकाला है?
(c) किसी उचित पैमाने को चुनकर क्रम संख्या 2 के प्रेक्षण के लिए किरण आरेख खींचिए। आवर्धन का लगभग मान भी ज्ञात कीजिए।
उत्तर: (a) चूँकि प्रेक्षण क्रम संख्या 3 में हैं एवं v के संख्यात्मक मान बराबर हैं जोकि 40 cm है। यह उत्तल लेंस में तभी सम्भव होता है जब वस्तु 2 F पर होती है तो प्रतिबिम्ब 2 F पर बनता है।
इसलिए
2 F = 40 cm ⇒ f = 402 = 20 cm
अतः उत्तल लेंस की अभीष्ट फोकस दूरी = 20 cm है।
(b) क्रम संख्या 6 वाला प्रेक्षण सही नहीं है क्योंकि इसमें बिम्ब की स्थिति फोकस (F) एवं प्रकाशिक केन्द्र (O) के बीच स्थित है जिससे उसका प्रतिबिम्ब आभासी बनेगा जिसका प्रेक्षण सम्भव नहीं है।
(c) स्थिति (b) में बनने वाले प्रतिबिम्ब के लिए किरण आरेख –
![]() |
किरण आरेख |
(b) गोलीय दर्पण की वक्रता त्रिज्या की परिभाषा लिखिए। किसी गोलीय दर्पण की प्रकृति और फोकस दूरी ज्ञात कीजिए, जिसकी वक्रता त्रिज्या + 24 cm है।
उत्तर:
(a) जब दो समतल दर्पणों को परस्पर समकोण पर रखे जाएँ तो कोई भी प्रकाश किरण किसी भी कोण पर एक दर्पण पर आपतित होती है तो दोनों दर्पणों से परावर्तन के पश्चात् आपतित किरण के सदैव समान्तर परावर्तित हो जाती है।
(b) गोलीय दर्पण की वक्रता त्रिज्या: “गोलीय दर्पण जिस गोले के भाग होते हैं उसकी त्रिज्या गोलीय दर्पण की वक्रता त्रिज्या कहलाती है।” दूसरे शब्दों में “गोलीय दर्पण के वक्रता केन्द्र से उसके प्रकाशिक केन्द्र की सीधी दूरी उस गोलीय दर्पण की वक्रता त्रिज्या होती है।”
अतः दर्पण की अभीष्ट फोकस दूरी + 12 cm है तथा दर्पण एक उत्तल दर्पण है।
प्रश्न 10. 12 cm फोकस दूरी के अवतल दर्पण द्वारा किसी बिम्ब का सीधा प्रतिबिम्ब बनाने के लिए कहा गया है।
(i) दर्पण के सामने बिम्ब की दूरी का क्या परिसर होगा?
(ii) बनने वाला प्रतिबिम्ब साइज में बिम्ब से छोटा होगा या बड़ा होगा। इस प्रकरण में प्रतिबिम्ब दर्शाने के लिए किरण आरेख खींचिए।
(iii) इस बिम्ब का प्रतिबिम्ब कहाँ बनेगा यदि इसे दर्पण के सामने 24 cm की दूरी पर रख दिया जाए। अपने उत्तर की पुष्टि के लिए इस स्थिति के लिए भी किरण आरेख खींचिए।
उपर्युक्त किरण आरेखों में ध्रुव मुख्य फोकस और वक्रता केन्द्र की स्थितियों को भी दर्शाइए।
उत्तर:
(i) दर्पण के सम्मुख इस स्थिति के लिए बिम्ब की दूरी दर्पण में 12 cm से कम होनी चाहिए।
(ii) बनने वाला प्रतिबिम्ब साइज में बिम्ब से बड़ा होगा।
किरण आरेख –
किरण आरेख –
जहाँ P = ध्रुव, F = मुख्य फोकस, C = वक्रता केन्द्र
(b) किसी अपसारी लेंस की फोकस दूरी 20 cm है। 4 cm ऊँचाई के किसी बिम्ब को इस लेंस के प्रकाशिक केन्द्र से कितनी दूरी पर रखा जाना चाहिए कि इसका प्रतिबिम्ब लेंस से 10 cm दूरी पर बने। प्रतिबिम्ब का साइज भी परिकलित कीजिए।
(c) उपर्युक्त स्थिति के लिए प्रतिबिम्ब बनना दर्शाने के किरण आरेख खींचिए।
उत्तर:
(a) गोलीय लेंस का प्रकाशिक केन्द्र: “लेंस के मुख्य अक्ष पर स्थित वह बिन्दु जिससे होकर जाने वाली प्रकाश किरण अपवर्तन के पश्चात् आपतित किरण की दिशा में निर्गमित होती है, लेंस का प्रकाशिक केन्द्र कहलाता है।” यह लेंस का केन्द्रीय बिन्दु होता है।
(b) अपसारी लेंस अवतल लेंस होता है जिसकी फोकस दूरी प्रतिबिम्ब की दूरी दोनों ऋणात्मक होते हैं।
दिया है: f = – 20 cm, v = – 10 cm तथा बिम्ब की ऊँचाई h = 4 cm
(c) किरण आरेख – (अपसारी लेंस में प्रतिबिम्ब बनना)
उत्तर: लेंस की क्षमता: “किसी लेंस द्वारा प्रकाश किरणों का अभिसरण या अपसरण करने की मात्रा को उस लेंस की क्षमता के रूप में व्यक्त किया जाता है।” संख्यात्मक रूप से “लेंस की मीटर में व्यक्त फोकस दूरी का व्युत्क्रम उस लेंस की क्षमता कहलाती है।”
लेंस की क्षमता का मात्रक: इसका मात्रक डायप्टर (D) होता है।
लेंस की क्षमता के मात्रक डायप्टर की परिभाषा: एक डायप्टर उस लेंस की क्षमता के बराबर होती है जिसकी फोकस दूरी 1 मीटर हो।
अर्थात्
किरण आरेख –
कोई 4 cm लम्बा बिम्ब 20 cm फोकस दूरी के किसी उत्तल लेंस के मुख्य अक्ष के लम्बवत् रखा है। बिम्ब
की लेंस से दूरी 15 cm है। प्रतिबिम्ब की प्रकृति, स्थिति और साइज ज्ञात कीजिए।
उत्तर:
हाँ, इस लेंस द्वारा 30 cm दूरी पर स्थित बिम्ब का पूरा प्रतिबिम्ब बन सकता है।
किरण आरेख –
संख्यात्मक भाग का हल –
दिया है: h = 4 cm, f= 20 cm, u= – 15 cm
अतः प्रतिबिम्ब लेंस के उसी ओर लेंस से 60 cm की दूरी पर सीधा, 16 cm ऊँचा तथा आभासी बनेगा।
_______________________































































0 Comments:
Post a Comment
Write any question or suggestion.